Mechanical oscillator experimental setup
Portfolio / Projects / Mechanical Oscillator Analysis

Mechanical Oscillator System Analysis

Comprehensive analysis of mechanical oscillator behavior using linear potentiometer feedback and advanced signal processing techniques

Class Project Individual Work Multi-week Project

Project Overview

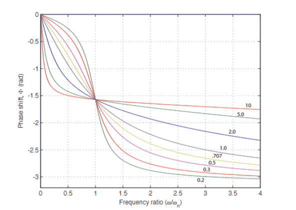
Conducted comprehensive analysis of mechanical oscillator system dynamics using linear potentiometer position feedback and advanced signal processing techniques. This project involved designing and implementing a complete measurement system to capture oscillatory motion, analyze frequency response characteristics, and investigate phase relationships in mechanical systems. Through careful experimental design and data analysis, the project demonstrated understanding of vibration analysis, control systems theory, and measurement instrumentation while providing practical experience with signal processing and system identification techniques.

Analysis Process & Results

Comprehensive slideshow showcasing the experimental methodology, data analysis, and key findings

System Analysis & Results

Technical Skills Demonstrated

Vibration Analysis Signal Processing Data Acquisition Instrumentation System Identification Frequency Analysis Control Systems Experimental Design Mathematical Modeling Technical Documentation Problem Solving Engineering Analysis